前言
在时域有限差分法(FDTD)中,边界条件在FDTD模拟中起着非常重要的作用,它们是开放建模区域用于截断计算域所施加的条件,可以决定电磁波在边界处的反射、透射和吸收等行为。我们将介绍FDTD模拟中网格截断的几种不同边界条件,包括理想电导体(PEC)、理想磁导体(PMC)、周期边界条件、bloch边界条件、一阶Mur吸收边界条件以及PML边界条件。其中mur边界条件以及PML边界条件都是吸收边界,可以模拟光源激发的场传播到无穷远处被完全吸收的情况,从而降低反射的光波对FDTD截断区域的影响,这对FDTD的数值计算至关重要。
理想电导体和理想磁导体
当PEC条件被应用于截断FDTD计算域时,它将使边界上的切向电场为零。PEC可以理解为电导率无限大的材料。它的实际例子是波导和腔壁,以及微波电路或贴片天线的接地平面。

与PEC一样,理想磁导体也是电磁波的一种自然边界条件,也是全反射的。然而,与PEC不同的是,PMC不是物理的,它只是一种技巧。原则上,我们可以通过强制PMC表面上的切向磁场为零,来截断计算域。
PEC和PMC经常利用仿真的对称性,以减小计算域的大小,或者用于截断正入射平面波时的周期性结构。
周期边界条件和bloch边界条件
周期边界条件通常用于模拟周期性结构,通过应用这种边界条件,FDTD计算域中的结构和电磁场都被视为周期性的。这意味着在计算域内,结构和电磁场的变化会在一个周期内重复。 而Bloch边界条件主要适用于平面波以一定角度入射到周期性结构中的情况。Bloch边界条件将对模拟区域内一个边界处的场进行相位调整,然后将其注入到另一个边界中。通过使用Bloch边界条件,可以准确地模拟周期性结构中的任意入射角度的电磁波传播特性,其公式可表示为:

其中
为平移的晶格矢量,
为bloch波矢。 以下为倾斜平面波入射时的电场分布,使用Bloch边界和PML边界的结果。入射光在Bloch边界的作用下拓展为无限大的平面入射,然后在PML边界当中被吸收。


吸收边界
由于计算机容量的限制,FDTD只能在有限区域内进行模拟。为了能够模拟开放区域电磁过程,在有限的计算区域截断边界处必须给出吸收边界条件。常用的吸收边界有Mur吸收边界和完美匹配层吸收边界。
Mur吸收边界
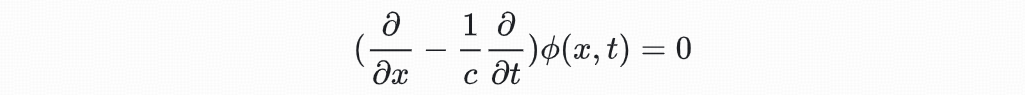
在PML出现之前,Mur吸收边界在FDTD的发展中发挥了重要作用。即使在今天,我们仍然可以利用这种简单的边界条件在FDTD模拟中获得相当好的结果。虽然Mur边界的吸收效果比PML差,但是它在模拟速度和内存需求方面优于PML。 以一维平面波为例,其场分量
满足波动方程

在FDTD网格当中,场分量按照迭代方程进行更新,而在边界处,由于缺少对应分量,只能采用吸收边界条件进行更新。 此时Mur吸收边界条使用上一个时间步边界附近的场分量对其进行近似,即为

对上式进行差分近似

在实际的FDTD计算当中,其边界的电场更新方程即为

完美匹配层
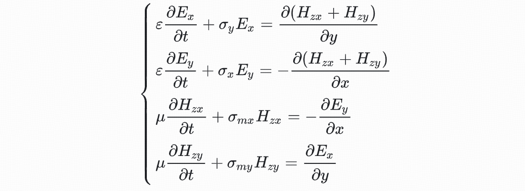
PML实际上也是一种人工各向异性材料,理论上它是一种损耗材料,并且反射极低。尽管自Berenger引入原始版本以来,相关研究人员已经提出了各种不同的版本,比如UPML,CPML等,但这些版本体现的中心概念仍然与Berenger发现的相同。下面简单介绍Berenger-PML(BPML),即分裂场完美匹配层,以二维TE为例,其将磁场分量分裂为两个子分量
,且
,对应麦克斯韦方程为

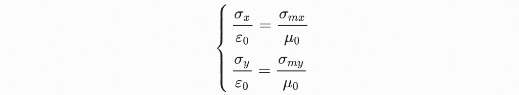
其中介质参数
满足阻抗匹配条件,当材料参数为(0,0,0,0)时即为真空。

电磁波的任意波长以任意角度都能在PML层当中传播,但振幅由于PML吸收而不断衰减。如下图所示,此时PML层分为周围四个边以及四个顶角八个区域,按图中所示构建参数,可以使得相邻的PML区域没有反射。

实际计算当中,PML层也不可能无限厚度,依然在最外层采用理想电导体截断。电磁波经过PML层后会被PEC边界完全反射回来,重新经过PML吸收并最终进入FDTD仿真区域。此时反射系数为

当入射光垂直入射时,R(0)通常取
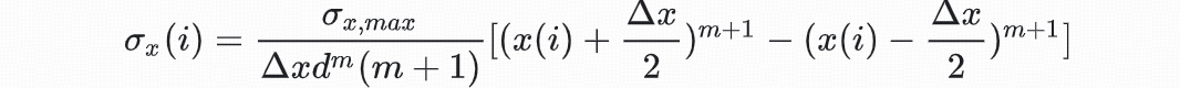
,而且离散化PML层的电导率可以表示为级数形式,以
为例

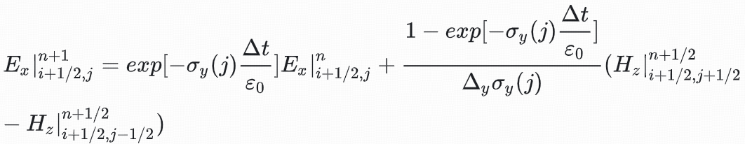
电磁场在PML当中衰减十分迅速,常规FDTD的迭代方程已不再适用,此时场以指数形式衰减

最后得到在PML层中的FDTD迭代方程如下,此处仅以Ex为例

实际PML吸收效果如下所示,图中颜色覆盖即为PML层,纵坐标即为归一化的电场,可见,光入射到PML以后,随着PML的逐层吸收,入射光迅速衰减到可以被忽略的量级。


参考文献
[1] Allen Taflove. "Computational Electromagnetics: The Finite-Difference Time-Domain Method", Boston:Artech House, (2005).
[2] "boundary condition settings", www.emsimworks.com/zh-CN/knowledge-base/User-Manual_boundary-condition-settings.
[3] Mur, G. "Absorbing boundary condition for the finite-difference approximation of the tine-domain electromagnetic-field equtions", IEEE Trans.electromagn.compat 23(1981).
[4] Berenger,Jean-Pierre. "A perfectly matched layer for the absorption of electromagnetic waves", Journal of Computational Physics, (1994).
