
撰稿人:董亚魁
单位:山东大学
董亚魁, 刘俊良, 孙林山, 李永富, 范书振, 高亮, 刘兆军, 赵显. 基于InGaAs NFAD的集成型低噪声近红外单光子探测器(特邀)[J]. 红外与激光工程, 2023, 52(3): 20220907. doi: 10.3788/IRLA20220907
近年来,基于InGaAs单光子雪崩二极管(Single-Photon Avalanche Diode,SPAD)的近红外单光子探测技术在远距离激光雷达等系统中的应用日益广泛,展现了其低功耗、小体积等优势。然而,其暗计数较Si基探测器高,且在一次探测事件后出现后脉冲噪声计数的概率较大,因此较高的噪声计数是该类器件实际应用中不可忽视的问题。本文针对1550 nm激光雷达对单光子探测器高集成度、低噪声的应用需求,设计了一种基于InGaAs 负反馈雪崩二极管(Negative Feedback Avalanche Diode, NFAD)的单光子探测器,包括专用于NFAD的低功耗的无前置放大器高速混合淬灭电路,以及高速计时、计数读出电子学,并着重考虑了散热和抗干扰设计。该模块可工作在自由运转模式和宽门控模式,尤其适用于激光雷达应用。
NFAD是通过在SPAD上集成一个大阻值的淬灭电阻来引入负反馈,在不影响制冷温度的前提下大幅降低了寄生参数和淬灭延迟。然而,NFAD的主要缺点也来源于这一内置的大阻值淬灭电阻。首先,淬灭后NFAD需要通过该电阻向SPAD结电容充电,通常需要数十至上百ns,远大于常规SPAD。其次,这一电阻使得大多数雪崩电流均“内耗”,仅有数十μA的电流输出,因此各研究机构均使用了前置放大电路,将信号放大到至少数十mV后再进行鉴别。为了进一步降低探测器体积和功耗,集成多级热电致冷器(Thermal-Electric Cooler,TEC)的SPAD受到了更多关注。然而,集成多级TEC的NFAD器件则由于探测芯片与管脚距离较远,到读出电路的引线长,例如在使用3级TEC时引线长约8 mm。长引线引发了如下两个特有的问题:首先,较长的非阻抗匹配引线可等效为天线,按直立全向天线估算,8 mm引线的天线增益为1 mm引线的8倍,加之NFAD的雪崩信号自身比常规的SPAD小数十倍且不能采用滤波技术,使得带制冷的NFAD极易受干扰。其次,该内置TEC的器件较长的引线使器件分布参数相对较大,若结合主动淬灭电路或门控电路使用将极大地增加了尖峰噪声消除电路的设计和调试难度,且残余的尖峰噪声也会被放大,易导致放大器饱和甚至过载。设计采用了北京润铭宇的PNA-308-MM型NFAD,有效光敏面直径为22 μm,耦合了62.5/125 μm多模尾纤,内置三级TEC热电制冷器,采用六管脚的TO-8管壳封装。为解决集成TEC制冷的探测器件较长的引线导致的易受外界干扰和尖峰噪声难以消除的问题,课题组提出了针对NFAD的无前置放大器高速主动淬灭电路,如图1所示。设计以带锁存功能的SiGe异质结双极型晶体管(Heterojunction Bipolar Transistor,HBT)工艺的超高速比较器为核心构成主动淬灭电路,结合外部晶体管和C-RC电容平衡消噪电路实现雪崩信号的提取、NFAD淬灭及淬灭状态保持,如图1中深红色部分所示。以现场可编程门阵列(Field-Programmable Gate Array,FPGA)为核心,结合运算放大器等部分外围电路实现NFAD淬灭后恢复控制,偏压、鉴别电平、死时间等参数的调整,以及雪崩信号的计时、计数和输出功能,如图1中深蓝色部分所示。
2.结构设计
探测器的整体设计示意图如图2(a)所示。其尺寸为:54 mm × 42.8 mm × 50 mm,主要包括外壳、1550 nm集成制冷型NFAD器件、导热结构、电源电路板、控制电路板、淬灭电路板等组成。
图 2 基于InGaAs NFAD的集成型低噪声近红外单光子探测器设计图:(a)探测器剖视图;(b)探测器散热结构;红色虚线圈内为淬灭电路板及贴抗干扰屏蔽材料位置;蓝色区域为NFAD管壳与散热结构接触面NFAD的TEC在使用过程中,由于Peltier效应会在TEC的底面产生热量堆积,而TEC底面已与管壳底部焊接,因此需要精细设计导热结构,以尽量降低管壳温度,保证NFAD的工作温度。如图2(b)所示,设计将淬灭电路板主体朝向器件外侧,平行于管壳底面,仅连接NFAD的阴阳两极和两个测温电阻管脚,避开管壳中心关键导热部分。经软件建模测算,管壳底面与散热结构的接触部分占管壳底面的73.2%。
3.抗干扰设计
由于探测器中最易受干扰的部分为NFAD引脚和淬灭电路,设计最小化了NFAD的阴阳极管脚到电路板的长度,器件底面到淬灭电路的距离仅为1.4 mm,并在不影响散热的前提下在淬灭电路的正反面粘贴了铁氧体吸波材料,如图2中红色虚线圈部分所示。经上述处理后,探测器在无电磁屏蔽的环境内雪崩检测阈值低至9 mV,而该电路驱动的NFAD在10%探测效率时的典型雪崩信号幅度约28 mV,不会出现因雪崩信号漏检而导致探测效率下降的情况。
4.雪崩波形及分析
将恢复延迟设置为250 ns,用示波器探头同时采集比较器同相输入端和反相输入端信号,如图3所示,其中雪崩信号作了局部放大。上述结果表明,雪崩提取和主动淬灭电路实现了其功能,避免了前置放大器的使用,减少了总热量产出。

图 3 比较器同相端(实线)和反相端(虚线)波形图
5. 探测器性能参数及分析
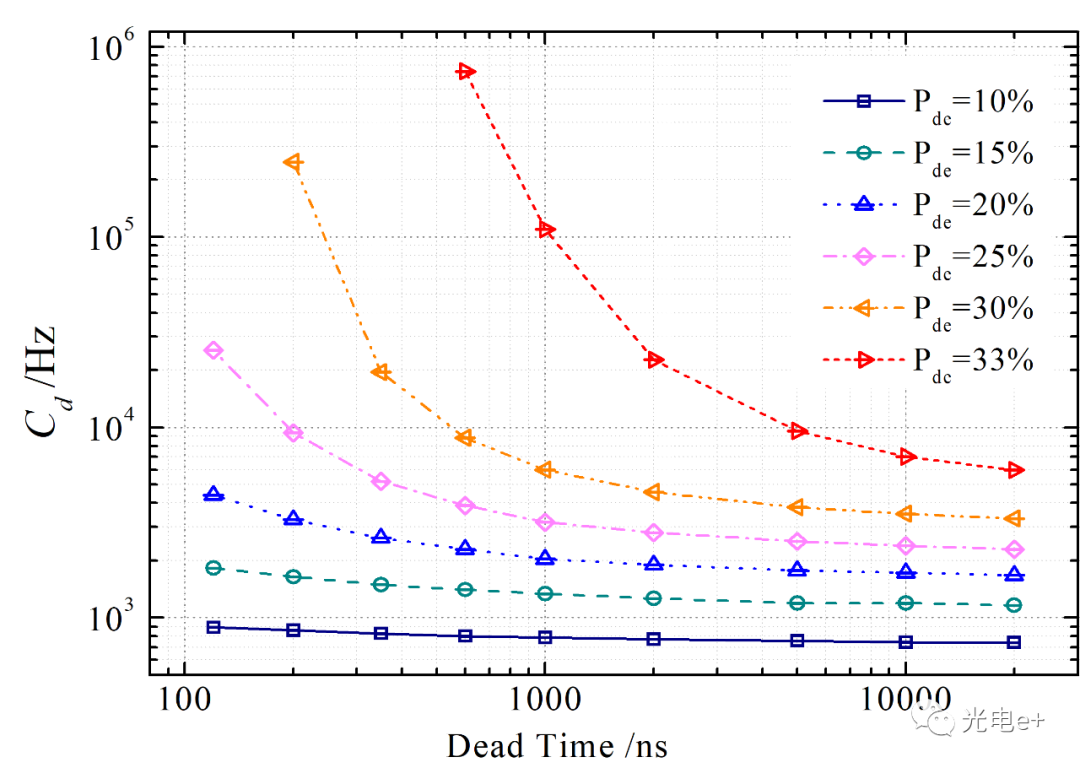
实验测量了NFAD制冷至-50℃,探测器在不同探测效率时的暗计数率和后脉冲概率随死时间的变化,分别如图4和图5所示。

图 4 暗计数率在不同探测效率下随死时间的变化

图 5 总后脉冲概率在不同探测效率下随死时间的变化
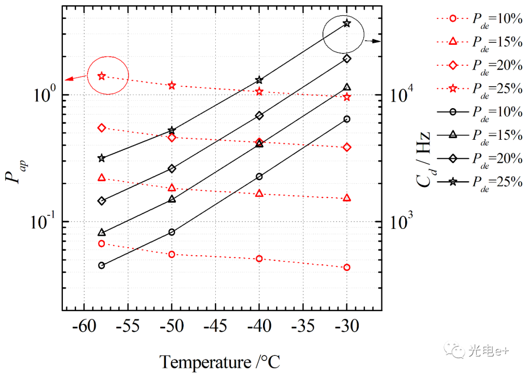
在设为最短死时间120 ns、探测效率10%时,其暗计数率890 Hz,后脉冲概率仅10.6%,非常适用于后向散射和背景光等噪声光子数较大时对目标的探测,可以应用于激光雷达等应用。为了更好地表征不同温度对探测器性能的影响,设定死时间为350 ns,测得探测效率分别为10%、15%、20%和25%时暗计数率和总后脉冲概率随温度的变化,如图6所示。

图 6 总后脉冲概率和暗计数率在不同探测效率下随温度的变化
总体看来,在同一探测效率下,后脉冲概率随温度的升高而降低,由于高阶后脉冲的存在,暗计数率的增长速率也在随温度的升高而变大。考虑到不同实际应用环境中背景光贡献的噪声计数可能差异较大,工作温度需要根据实际情况灵活选择。
本文针对1550 nm激光雷达对单光子探测器高集成度、低噪声的应用需求,研制了基于InGaAs NFAD的集成型近红外单光子探测器。针对NFAD器件易受到外界干扰的问题,通过无前置放大器的高速混合淬灭电路设计,结合优化的器件-电路互联和屏蔽结构设计,实现了稳定工作。同时,对集成热电制冷和高速淬灭电路自身高功耗、发热量较大的特点设计了散热方案。所研制的探测器最大可用探测效率约为33%,最低制冷温度为-58℃;-50℃、死时间120 ns时后脉冲概率仅为10.6%,暗计数率低至890 Hz。综上所述,探测器的综合性能优异,非常适用于使用环境体积受限的激光雷达系统。

团队介绍:
红外感知技术与应用课题组依托于山东大学光学高等研究中心和激光与红外系统集成技术教育部重点实验室,团队主要针对现代信息技术、人工智能等领域对多维信息获取的迫切需求,开展新型探测与成像机理、核心探测与成像部件、新型光电信息系统等方面的基础理论与关键技术研究。
团队负责人介绍:
李永富,博士,山东大学光学高等研究中心教授,博士生导师,激光与红外系统集成技术教育部重点实验室副主任,山东激光学会第八、九届理事会理事,山东省计量测试学会衡器专业技术委员会副主任委员。多年来一直从事光电信息技术及应用等方面的研究,先后主持课题20余项。完成高性能自由运转式近红外单光子探测器、高速门控式近红外单光子探测器、多通道时间数字转换器、凝视型短波红外成像仪、扫描型短波红外成像仪、激光照明型短波红外成像仪、智能识别型短波红外成像仪等光电探测与成像部件的研制。第一或通讯作者发表学术论文20余篇,第一申请人获授权5项。
团队成员介绍:
刘俊良,博士,山东大学光学高等研究中心副研究员,硕士生导师,长期从事盖革InGaAs APD的物理特性、淬灭和读出电路及其激光雷达应用方面的研究工作。主持课题10余项。发展了APD的超低延迟主动淬灭技术和非侵入式雪崩脉冲间接测量技术,实现了目前国际上可用死时间最低的主动淬灭自由运行式近红外单光子探测器;研制了多种实用的单光子探测器,形成了全功能单元探测器产品及线列、面阵探测器原型样机,以及高性能的微型自由运转式近红外单光子探测模块。共发表SCI论文十余篇,申请国家发明专利8项。
董亚魁,硕士,山东大学光学高等研究中心实验师,主要从事单光子探测和系统封装方面的研究,主持及参与了山东省自然科学基金、企业合作项目等多个课题。
原文链接:
http://www.irla.cn/cn/article/doi/10.3788/IRLA20220907(阅读原文)转载/投稿/合作,请联系微信ivan_413598663
本文所用视频、图片、文字如涉及版权问题,请第一时间告知,我们将根据您提供的证明材料确认版权并按国家标准支付稿酬或立即删除。邮箱:liuxingwang@csoe.org.cn
文章转载自微信公众号:光电e+